Soal Aljabar Persamaan
Soal N Jawaban Aljabar Linier Dg 3 Persamaan
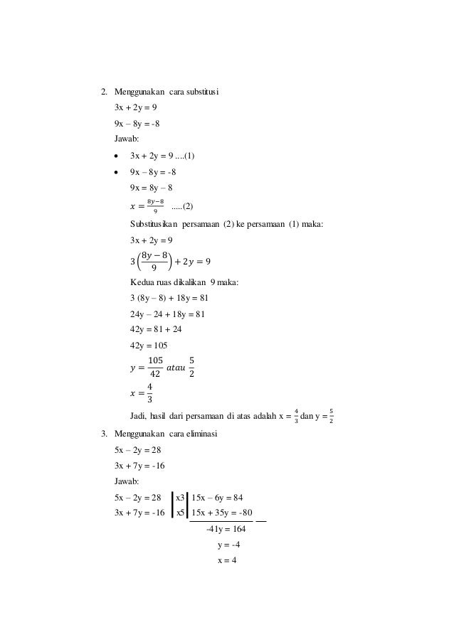
Soal N Jawaban Aljabar Linier Dg 3 Persamaan
Operasi Hitung Aljabar Matematika Dasar
Soal Dan Pembahasan Sistem Persamaan Linier Tiga Variabel 1 2
Contoh Soal Cpns Tiu Aljabar Sistem Persamaan Youtube
Pelajaran Soal Rumus Persamaan Eksponen Wardaya College
Pengertian Dan Contoh Soal Persamaan Linear Satu Variabel Plsv
Materi Aljabar Persamaan Linear
Cara Menyelesaikan Persamaan Linear Satu Variabel Detail Aljabar
Contoh Soal Dan Pembahasan Turunan Fungsi Aljabar
Contoh Soal Dan Pembahasan Persamaan Kuadrat Sma
Soal Dan Pembahasan Sistem Persamaan Linier Tiga Variabel 1 2
Materi Aljabar Persamaan Linear
Pembahasan Soal Aljabar Linier On Mipa Pt Bidang Matematika Tahun 2017
Rangkuman Contoh Soal Pembahasan Matriks
Contoh Soal Soal Aljabar Boolean Dan Pembahasannya
Pelajaran Soal Rumus Penyelesaian Persamaan Satu Variabel
Rumus Persamaan Kuadrat Matematika Lengkap
Persamaan Linear Dua Variabel Dan Contoh Soalnya
Contoh Soal Dan Pembahasan Persamaan Kuadrat Sma
Sistem Persamaan Linier Satu Dua Tiga Variabel Materi
Prediksi Soal Cpns Hots 2019 Aljabar Youtube
5 Soal Dan Pembahasan Penerapan Persamaan Linear Satu Variabel
Persamaan Nilai Mutlak Satu Variabel Matematika
Contoh Soal Operasi Aljabar Jumlah Kurang Kali Bagi Pangkat
Matematika Kelas 7 Cara Menyelesaikan Operasi Perpangkatan Pada
Contoh Cara Pemfaktoran Aljabar Persamaan Kuadrat Rumus Abc
Materi Aljabar Persamaan Linear
Soal Dan Pembahasan Sistem Persamaan Linier Tiga Variabel 1 2
Persamaan Kuadrat Rumus Abc Akar Akar Pk Baru Contoh Soal
Panduan Belajar Un Smp Matematika 2019 Zenius Blog
Sistem Persamaan Linear Tiga Variabel Ciri Syarat Cara
Persamaan Pangkat 3 Fungsi Kubik Aljabar Rumus Soal Jawaban
Latihan Soal Aljabar Boole Penyelesaian
Budi Kuswiyanto Aljabar 1 Bentuk Aljabar Persamaan Dan
Contoh Soal Persamaan Linear Satu Variabel Beserta Jawabannya
Persamaan Pangkat 3 Fungsi Kubik Aljabar Rumus Soal Jawaban
Indikator Soal No Soal Tingkat Kesukaran Aljabar
3 Cara Untuk Menyelesaikan Persamaan Aljabar Dua Langkah Wikihow
Pelajaran Soal Rumus Linear Kuadrat Wardaya College
Soal Dan Pembahasan Sistem Persamaan Linier Tiga Variabel 1 2
Aljabar Rumus Operasi Perhitungan Penjelasan Soal Jawaban
Rumus Abc Matematika Pembuktian Pengertian Penggunaan
Pelajaran Soal Rumus Diskriminan Persamaan Kuadrat Wardaya
Soal Dan Pembahasan Super Lengkap Soal Cerita Aplikasi Sistem
Aljabar Rumus Operasi Perhitungan Penjelasan Soal Jawaban
3 Cara Untuk Menyelesaikan Sistem Persamaan Aljabar Yang Memiliki
Menyelesaikan Persamaan Linear Satu Variabel Plsv Pendidikan
Belajar Matematika Dasar Soal Cerita Kegunaan Persamaan Bentuk
Pembahasan Soal Un Persamaan Trigonometri Smatika
Persamaan Linear Satu Variabel Idschool
Kisi Kisi Soal Ujian Sekolah Tahun 2016
Pembahasan Soal Persamaan Trigonometri 5 Bentuk Kuadrat Youtube
Pelajaran Soal Rumus Persamaan Eksponen Wardaya College
Contoh Soal Operasi Aljabar Jumlah Kurang Kali Bagi Pangkat
Soal Dan Pembahasan Persamaan Kuadrat Versi Hots Olimpiade
Soal Hots Un Matematika Smp 2019 Aljabar Persamaan Kuadrat Ghots
Persamaan Nilai Mutlak Penjelasan Lengkap Dan Contoh Soal
Contoh Soal Menyederhanakan Pecahan Aljabar
Soal Limit Aljabar Yang Diselesaikan Dengan Pemfaktoran
Contoh Soal Dan Pembahasan Turunan Fungsi Aljabar
Rumus Persamaan Kuadrat Matematika Lengkap
Contoh Soal Persamaan Kuadrat Dengan Akar Akar X1 Dan X2
Persamaan Pangkat 3 Fungsi Kubik Aljabar Rumus Soal
Pemfaktoran Bentuk Aljabar Idschool
Galihwidosamodra Soal Cerita Mencari Jumlah Kelereng Dari
Contoh Soal Aljabar Dan Penyelesaiannya Beserta Jawabannya
Soal Dan Pembahasan Sistem Persamaan Linier Tiga Variabel 1 2
Persaman Linear Satu Variabel Dan Contoh Soalnya
Contoh Soal Dan Pembahasan Persamaan Kuadrat Sma
Soal Dan Pembahasan Sistem Persamaan Linier Tiga Variabel 1 2
Soal Limit Aljabar Yang Diselesaikan Dengan Pemfaktoran
Matematika Kelas 8 100institute
Latihan Olimpiade Matematika Teknik Manipulasi Aljabar Persamaan
Operasi Hitual Aljabar Ppt Download
Apa Yang Dimaksud Dengan Pemfaktoran Persamaan Matematika
Cara Mempelajari Aljabar Dengan Gambar Wikihow
Turunan Fungsi Aljabar Ppt Download
Kisi Kisi Ujian Nasional Smk Dan Mak 2019 Panduan Materi Soal Un
Sistem Persamaan Linier Satu Dua Tiga Variabel Materi
Soal Limit Aljabar Yang Diselesaikan Dengan Pemfaktoran
Latihan Persamaan Dan Pertidaksamaan Linear Satu Variabel Matematika
Cara Mengerjakan Aljabar 3 Variabel Guru Ilmu Sosial
Materi Aljabar Soal Tentukan Hp Dari Persamaan Berikut 1 5 Y 1
Semua Tipe Soal Persamaan Aljabar Youtube
Contoh Soal Dan Pembahasan Persamaan Dan Pertidaksamaan Eksponen Sma
Matematika Kelas 8 100institute
Pengaruh Penguasaan Materi Operasi Bentuk Nbsp Persamaan Linear
Linear Aljabar Persamaan Linear Dengan Matriks Homogen
Sistem Persamaan 2 Soal Cerita 3 Variabel Aljabar Youtube
Matematika Pm 12 Mia Sebaran Soal
Jawablah 2 Soal Dibawah Ini Tentang Persamaan Aljabar 1 Tujuh





